Unibet Online Series XIV - € 600 000 i garanterte premier

Unibet Online Series XIV - € 600 000 i garanterte premier

Det er på ny tid for Unibet Online Series som denne gangen skal spilles over hele 105 event med € 600 000 i garanterte premiepenger og € 21 000 i ekstra rangeringspremier. Starten går på søndag

Unibet Online Series XIV eller nummer 14 i tallet starter opp denne helgen, søndag 28 november klokken 19:00 og strekker seg over 105 fantastiske event. Turneringen har buy ins fra € 0,25 opptil € 1 100 så her er det en inngangsbillett for alle spillere, uansett lommebok. Turneringen har gevinster opptil førstepremien på Unibet Online High eventet på hele € 125 000 er det definitivt en turnering som kan endre ditt liv for alltid.

Som en ekstrabonus vil lederne på ledertavlene også vinne muligheten til å spille i eksklusive Sit N Go event mot tre Unibet ambassadører om turneringsbilletter verdt € 1 250. Som om ikke det er nok i seg selv er alle deltagere garantert premie.

Spillet fordeles over fem topplister: 

• Nano med buy ins fra € 0,25 opptil € 1

• Low med buy ins fra € 5 opptil € 10

• Mid med buy ins fra € 25 opptil € 50 

• High med buy ins fra € 100 opptil € 1 000 og 

• overall hvor alle poeng fra: low, mid og high listene samles

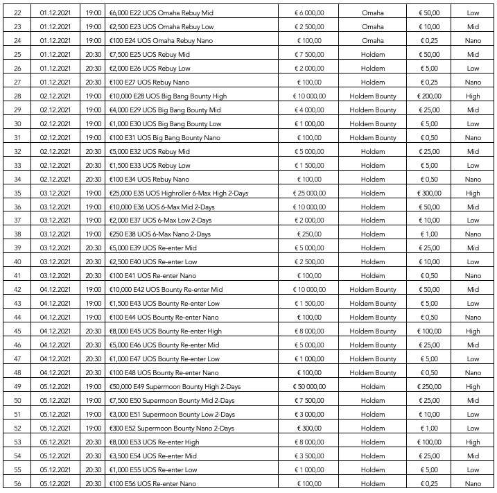
Turneringsoversikten ser ut som følger:

 

 

Kommenter

Bli den første til å kommentere!

Topp 5

De beste pokerrommene

Topp 5

De beste pokerbonusene

Logo Hent
18+. Regler og vilkår gjelder. Spill ansvarlig.
Logo
100 % opptil 20 000 kr
Black Chip Poker
Hent

Eksklusive turneringer
Kun for våre medlemmer